-
首页
-
CRO服务
- 领衔服务
- 消泡剂残留检测
- NDSRI/亚硝胺类基因毒性杂质检测
- 杂质检测
- 基因毒性杂质检测
- 元素杂质检测
- 残留溶剂检测
- 有关物质检测
- 酶蛋白残留检测
- 蛋白质残留含量/浓度检测
- 生物药工艺杂质检测
- 生物药工艺杂质(分类)
- 表面活性剂残留检测
- 细胞质来源杂质残留检测
- 转染试剂残留检测
- 抗生素残留检测
- 稳定剂残留检测
- 缓冲液残留检测
- 工艺增强剂及催化剂残留检测
- 细胞冻存保护液残留检测
- 灭活剂残留检测
- 多肽裂解剂残留检测
- 诱导剂残留检测
- 变性剂残留检测
- 清洗剂残留检测
- 抗氧化剂残留检测
- 去污剂检测
- 毒理学服务
- PDE计算
- 工艺杂质评估
- Derek&Sarah 软件评估
- 其他服务
- 结构确证
- 杂质制备
- 晶型检测
- 蛋白纯度检测
- 表征测试
- 医疗器械EO/ECH残留检测
-
质量体系
-
案例分享
-
关于我们
-
联系我们
-
首页
-
CRO服务
- 领衔服务
- 消泡剂残留检测
- NDSRI/亚硝胺类基因毒性杂质检测
- 杂质检测
- 基因毒性杂质检测
- 元素杂质检测
- 残留溶剂检测
- 有关物质检测
- 酶蛋白残留检测
- 蛋白质残留含量/浓度检测
- 生物药工艺杂质检测
- 生物药工艺杂质(分类)
- 表面活性剂残留检测
- 细胞质来源杂质残留检测
- 转染试剂残留检测
- 抗生素残留检测
- 稳定剂残留检测
- 缓冲液残留检测
- 工艺增强剂及催化剂残留检测
- 细胞冻存保护液残留检测
- 灭活剂残留检测
- 多肽裂解剂残留检测
- 诱导剂残留检测
- 变性剂残留检测
- 清洗剂残留检测
- 抗氧化剂残留检测
- 去污剂检测
- 毒理学服务
- PDE计算
- 工艺杂质评估
- Derek&Sarah 软件评估
- 其他服务
- 结构确证
- 杂质制备
- 晶型检测
- 蛋白纯度检测
- 表征测试
- 医疗器械EO/ECH残留检测
-
质量体系
-
案例分享
-
关于我们
-
联系我们
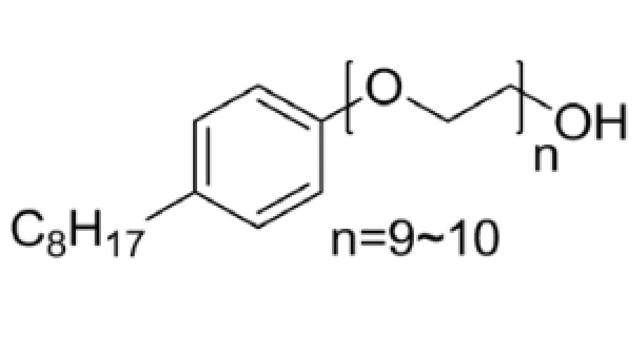
工艺杂质曲拉通X-100残留分析方法检测
曲拉通是常用的非离子表面活性剂,外观为无色或几乎透明粘稠液体,能溶于水、甲苯、二甲苯和乙醇,不溶于石油醚。常用的Triton-100即聚乙二醇单辛基苯基醚,由辛基酚与环氧乙烷反应制得,化学结构为烷基芳基聚醚醇。作为一种不变性的相对温和的洗涤剂,不同浓度的TritonX-100溶液在生物制药、医疗器械、科研实验等领域有不同的效果。

以生物制药举例,低浓度TritonX-100溶液可添加剂使蛋白质(尤其是膜蛋白)保持稳定,一定浓度的TritonX-100也可以用于裂解细胞,TritonX-100的缓冲盐体系提高真核细胞细胞膜的通透性。但TritonX-100是一类聚合物,其结构特性、组成复杂性、分析手段的局限使得其在实验室进行定量检测时存在不少难点。

TritonX-100对照溶液图谱
实验室可通过高效液相色谱法(HPLC)对曲拉通X-100残留进行检测。图为微源检测研究团队开发了某蛋白制剂中HPLC测定曲拉通X-100的分析方法的对照溶液图谱。方法选用C18柱,在波长下进行定量分析,灵敏度在50ng/mL。分析方法开发经验证,专属性良好,灵敏度高,精密度好,检测限符合检测需求,为生物制药过程中的残留检测提供参考。
曲拉通X-100尤其是在直接用于人体的生物制品,如疫苗、抗体药物、组织工程材料中并未直接提及具体的限量标准,但是其残留可能对产品安全性和有效性构成风险。对于工艺优化或要求更高的质量控制,建立准确、灵敏、可靠的残留检测方法是质量控制的关键,建立并验证方法,确保数据的准确可靠。

微源检测专注药物杂质研究,针对重组蛋白药物、单克隆抗体、疫苗、血液制品、细胞治疗、基因治疗及核酸药物等生物药工艺残留分析检测有着丰富项目经验,参照cGMP、CNAS和CMA要求运行质量管理体系,拥有专业的技术团队、合规的质量体系、优势的资源配置,为残留检测提供高效的解决方案和全面的研究策略,如有相关需求欢迎咨询。